Skip to content

206. 反转链表 #60

@webVueBlog

Description

@webVueBlog

206. 反转链表

Description

Difficulty: 简单

Related Topics: 递归, 链表

给你单链表的头节点 head ,请你反转链表,并返回反转后的链表。

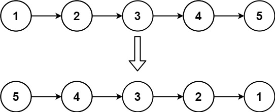
示例 1:

输入:head = [1,2,3,4,5]
输出:[5,4,3,2,1]

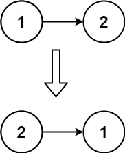
示例 2:

输入:head = [1,2]
输出:[2,1]

示例 3:

输入:head = []
输出:[]

提示:

  • 链表中节点的数目范围是 [0, 5000]
  • -5000 <= Node.val <= 5000

**进阶:**链表可以选用迭代或递归方式完成反转。你能否用两种方法解决这道题?

Solution

Language: JavaScript

/**
 * Definition for singly-linked list.
 * function ListNode(val, next) {
 *     this.val = (val===undefined ? 0 : val)
 *     this.next = (next===undefined ? null : next)
 * }
 */
/**
 * @param {ListNode} head
 * @return {ListNode}
 */
// 假设链表为 1→2→3→∅,我们想要把它改成 ∅←1←2←3。
// 迭代
var reverseList = function(head) {
    let prev = null
    let curr = head
    while (curr) {
        [curr.next, prev, curr] = [prev, curr, curr.next]
    }
    return prev
};

// 递归
// var reverseList = function(head) {
//     if (head === null || head.next === null) {
//         return head
//     }

//     const nextHead = reverseList(head.next)
//     head.next.next = head
//     head.next = null
//     return nextHead
// }

Metadata

Metadata

Assignees

No one assigned

    Labels

    No labels
    No labels

    Projects

    No projects

    Milestone

    No milestone

    Relationships

    None yet

    Development

    No branches or pull requests

    Issue actions